1.1 buon bordo caldo
I materiali di tenuta dei bordi del vetro isolante includono strisce di alluminio, materiali in acciaio e acciaio inossidabile, materiali in silicio organico, ecc. A causa della diversa conduttività termica dei loro materiali, anche la conduzione del calore formata ai bordi del vetro isolante varia molto. La tabella 1 mostra la conduttività termica di diversi tipi di materiali utilizzati per il vetro isolante.
Tabella 1 conducibilità termica di diversi materiali:
Scienza dei materiali | Conducibilità termica [W/(m * K)] |
Alluminio | 160 |
Acciaio | 50 |
Acciaio inossidabile | 17 |
Vetro | 1 |
Sigillante siliconico | 0.35 |
Materiale TPS (tipo di gomma butilica) | 0.3 |
Il sistema di sigillatura dei bordi composto da diversi tipi di materiali produce diversi effetti di conducibilità termica. Distanziatori termoplastici (TPS) eliminano i buoni metalli a trasferimento termico come alluminio e acciaio inossidabile utilizzati nei tradizionali distanziali in vetro isolante. Il coefficiente di conducibilità termica lineare del vetro isolante realizzato con TPS è molto inferiore a quello dei prodotti tradizionali, bloccare la dissipazione del calore sul bordo del vetro e migliorare l'effetto di risparmio energetico dell'intera finestra.
L'immagine 1 mostra un confronto tra il tradizionale vetro isolante in alluminio scanalato e il distanziatore termoplastico TPS vetro isolante sotto l'imaging termico. Può essere visto dalla foto 1 che a causa dell'uso di alluminio e altri materiali metallici come materiali distanziatori nei tradizionali sistemi di sigillatura dei bordi, la conduttività termica è alta, che rende facile il calore passare attraverso il vetro isolante dall'area di tenuta dei bordi, con temperature inferiori ai bordi.
Immagine 1
Con il miglioramento della qualità della vita delle persone, la domanda di un ambiente di vita confortevole è anche in aumento. L'effetto del bordo caldo portato dal sistema di sigillatura della barriera termoplastica (TPS) favorisce la stabilizzazione della temperatura interna, riduce la convezione dell'aria e fornisce un ambiente interno più confortevole. A causa della presenza del sistema di bordi caldi, riduce anche la condensa della nebbia d'acqua sul bordo del vetro della finestra e riduce il costo di manutenzione della cornice della finestra (vedi immagine 2)
Immagine 2
1.2 bassa permeabilità al vapore acqueo
Il distanziatore termoplastico (TPS) adotta una gomma butilica speciale mescolata con setaccio molecolare per lo stampaggio ad estrusione diretta e la consistenza del materiale di tenuta è buona. Allo stesso tempo, a causa della stretta adesione chimica tra distanziatori termoplastici e adesivo in vetro e silicone, la struttura in vetro cavo è più stabile e l'incollaggio è più stabile. La tabella 2 mostra la permeabilità al vapore acqueo e al gas di diversi materiali di tenuta. Può essere visto che il materiale in gomma butilica ha una migliore capacità di vapore acqueo e barriera ai gas rispetto alla gomma siliconica e alla gomma polisolfuro, formando una barriera migliore per evitare l'ingresso del vapore acqueo e perdite di gas, che favorisce il mantenimento delle prestazioni di tenuta del vetro isolante per molto tempo e garantisce prestazioni a risparmio energetico (Come mostrato nella foto sotto 3 ).

Tabella 2 trasmissione del vapore acqueo e del gas di diversi materiali di tenuta
Scienza dei materiali | Permeabilità ai Gas g/(m ² 24h) | Trasmissione del vapore acqueo g/(m ² 24h) |
Adesivo polisolfuro | 0.03-0.1 | 5-10 |
Adesivo in Silicone | ≥ 20 | 15-20 |
Gomma butilica | 0.002-0.005 | ≤ 0.9 |
1.3 processo di produzione completamente automatico
La produzione di vetro isolante del sistema TPS è completata dal sistema automatico contemporaneamente dal caricamento del vetro, rimozione della pellicola di vetro, pulizia e asciugatura, rivestimento di strisce termoplastiche, laminazione pneumatica e rivestimento di colla esterna, evitare errori e invero causati da operazioni manuali e ottenere un alto grado di uniformità della sigillatura degli angoli, Elimina completamente la scarsa pressatura e sigillatura degli angoli del tradizionale vetro isolante in alluminio, ed è adatto per la produzione di vetro isolante di qualsiasi tipo, dimensione e forma (come mostrato nella figura 7).

Figura 7 incollaggio dei bordi del vetro isolante del sistema distanziatore termoplastico (TPS)
2.1 impatto dell'ambiente di servizio sul vetro isolante
Come mostrato nella figura 8, il vetro isolante sarà colpito da vari fattori esterni durante l'uso

Figura 8 fattori di impatto ambientale durante l'uso del vetro isolante
In particolare, a causa dei continui cambi di temperatura e pressione ambientale, il gas nella cavità del vetro isolante è sempre nello stato di espansione termica o contrazione a freddo, come mostrato nella figura 9, che rende il sigillante sotto lo stress a lungo termine. Per il tradizionale sistema di doppia tenuta, l'effetto di questa forza deriverà dalla deformazione e dalla perdita della funzione del sigillante, E l'umidità dell'ambiente sarà costantemente permeata dal bordo del vetro isolante alla cavità centrale. Allo stesso tempo, l'effetto dei raggi ultravioletti, dell'acqua e di altri gas corrosivi dell'ambiente accelera l'invecchiamento del sigillante, accelerare così la velocità del vapore acqueo che entra nella cavità centrale e nella fuga dell'argon riempito. Questo tipo di infiltrazione del vapore acqueo si verifica in qualsiasi momento. L'essiccante nel sistema di sigillatura dei bordi alla fine perde la sua capacità di assorbimento del vapore acqueo a causa dell'adsorbimento continuo delle molecole d'acqua, che deriverà l'aumento del contenuto di vapore acqueo nella cavità del vetro isolante e il guasto della guarnizione, riducendo l'effetto di risparmio energetico. Il sistema di sigillatura del distanziatore termoplastico ha una buona elasticità, può rilasciare efficacemente lo stress del bordo quando l'ambiente cambia. Allo stesso tempo, il distanziatore termoplastico ha una forza coesiva più elevata per resistere ai cambiamenti causati dal carico per garantire la stabilità della struttura di tenuta.

Figura 9 vetro isolante tradizionale in alluminio
E schema schematico delle modifiche nell'uso del sistema di strisce distanziatrici termoplastiche (TPS)
Per il vetro isolante a tre vetri e due cavità comunemente utilizzato nel vetro passivo della nuova concezione di edificio a risparmio energetico (come mostrato nella figura 10), il vetro su entrambi i lati del vetro isolante sarà soggetto alla azione di un altro caSintety e genera un maggiore stress, il che può portare alla deformazione della gomma butilica, riduce l'effetto del primo sigillo, aumenta il canale del vapore acqueo e rende il vetro isolante più veloce, I vantaggi di tenuta dei distanziatori termoplastici saranno più chiari.

Figura 10 vetro isolante a tre e due cavità
Cambio di sigillante
2.2 fattori che cambiano la durata del vetro isolante
Secondo i requisiti del codice GB50096-2011 per la progettazione di edifici residenziali, la durata utile degli edifici non deve essere inferiore a 50 anni. Come parte importante dell'edificio, la durata utile del vetro isolante utilizzato da porte, finestre e facciate continue ha portato l'attenzione del settore. È elencato in allegato A "guasti e durata utile del vetro isolante" di GB/T11944-2012 Standard di vetro isolante che la durata di servizio attesa del vetro isolante dovrebbe essere di almeno 15 anni. Ad ogni modo, la durata di tenuta complessiva del vetro isolante in cina è ancora piuttosto bassa e il produttore generale non ha il coraggio di promise una garanzia di 10 anni. Siamo ancora lontani dai requisiti standard e dai requisiti di utilizzo dell'edificio.
Come mostrato sopra, la durata utile del vetro isolante è direttamente legata alla qualità dei materiali dei bordi (come distanziatore, essiccante, sigillante) e al processo di produzione del vetro isolante. La durata utile del vetro isolante è anche colpita dalle condizioni di installazione e dall'ambiente di servizio.
Nel 3.1, abbiamo inserito l'influenza dell'ambiente esterno sulla durata utile del vetro isolante. Oltre a fattori esterni, quali altri fattori cambiano la durata del vetro isolante? La qualità della sigillatura dei bordi è direttamente legata alla durata della sigillatura del vetro isolante. L'uso di sigillante a basso vapore acqueo e permeabilità ai gas è la chiave. Dall'analisi precedente, possiamo vedere che la striscia distanziatrice termoplastica (TPS) ha un'eccellente capacità di vapore acqueo e barriera al gas, E la durata della sigillatura del vetro isolante sarà migliorata se viene utilizzata per la sigillatura dei bordi del vetro isolante.
Prendendo il sistema di vetro isolante a tre vetri e due cavità come esempio, possiamo vedere dalla figura 11 che sono state formate otto interfacce di incollaggio tra il tradizionale sigillante per vetro isolante in alluminio e il vetro e il distanziatore, mentre solo quattro interfacce di incollaggio saranno formate tra la striscia distanziatrice termoplastica (TPS) Sigillo e il vetro. Dall'analisi del livello di produzione di vetro isolante domestico corrente e della nostra situazione di test a lungo termine, la scarsa adesione del sigillante, il materiale del vetro e del distanziatore è il percorso principale che porta al passaggio di vapore acqueo e gas, che è, In condizioni che la permeabilità al vapore acqueo e al gas del materiale di tenuta sia la stessa, il sistema di sigillatura del distanziatore termoplastico riduce il canale di trasmissione del vapore acqueo e del gas a causa della riduzione della superficie di incollaggio, per ottenere la durata a lungo termine del vetro isolante.

Figura 11 analisi dell'interfaccia di tenuta e incollaggio di diversi vetri isolanti
2.3 stato di qualità attuale del vetro isolante in cina
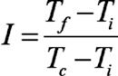
Indice di permeabilità all'acqua (I) utilizzato nello standard nazionale del vetro isolante) indica la durata di tenuta del vapore acqueo del vetro isolante. Secondo lo standard, il valore medio di I deve essere superiore al 0.2;

T i contenuto di umidità iniziale dell'essiccante
T f contenuto di umidità finale dell'essiccatoreT
T c contenuto di umidità Standard di essiccante
Qual è l'indicatore di permeabilità all'acqua I value? Il valore I si riferisce al rapporto tra la quantità di vapore acqueo esterno che entra nel vetro isolante e il suo assorbimento efficace nel test di durata. Indice di permeabilità all'acqua posso riflettere la capacità di adsorbimento residuo e la durata attesa del sistema di sigillatura del vetro isolante; Più piccolo il valore I, maggiore la capacità di adsorbimento residuo del vetro isolante e maggiore è la durata di tenuta.
Il centro nazionale di supervisione e ispezione della qualità del vetro ha realizzato analisi statistiche sui risultati dei test di durata di oltre il 300 di guarnizioni a vapore acqueo in vetro isolante negli ultimi due anni. La distribuzione del valore I viene mostrato nella figura 12. Il valore medio di I value è vicino a 15% e circa il 15% del valore I è maggiore di 20%.

Figura 12 I rapporto qualità-prezzo del vetro isolante domestico
All'inizio di questo secolo, la European insulation glass association UNI ha realizzato analisi statistiche dei risultati dei test della tenuta del vapore acqueo durata dei prodotti europei in vetro isolante (come mostrato nella figura 13). Dalla figura 13, si vede che il valore medio è compreso tra 4% e 5%. Dai due risultati scientifici, si può vedere che c' è ancora un grande divario tra la durata di tenuta generale del vetro isolante domestico e quella del vetro isolante straniero.

Figura 13 I Value Statistics of UNI vetro isolante europeo
Negli ultimi due anni, la qualità del vetro della stanza passiva ha anche attira molto attenzione. La tabella 3 mostra i risultati dei test del centro di supervisione e ispezione della qualità del vetro nazionale sulla durata della sigillatura del vapore acqueo del vetro isolante a tre e due cavità negli ultimi anni. Può essere visto dal tavolo 3 che il divario di qualità del vetro isolante prodotto da diverse imprese è abbastanza grande e il livello di qualità generale deve ancora essere migliorato. Se tale vetro viene applicato agli edifici passivi, è lontano dal soddisfare i requisiti della stessa durata degli edifici. Per risolvere questo problema, possiamo iniziare con materiali e processi e anche cerchiare strutture di tenuta più avanzate.
NO | Configurazione del vetro | Ti | Tf | Iav |
1 | 3 cavità di vetro 2 | 0.027 | 0.0537 | 0.161 |
2 | Vuoto IGU | 0.0418 | 0.0494 | 0.05 |
3 | 3 cavità di vetro 2 | 0.0286 | 0.0492 | 0.125 |
4 | Vuoto IGU | 0.035 | 0.0529 | 0.128 |
5 | 3 cavità di vetro 2 | 0.021 | 0.0466 | 0.14 |
6 | 3 cavità di vetro 2 | 0.018 | 0.0591 | 0.233 |
Il primo sistema di vetro isolante termoplastico (TPS) è nato nel 1974 a Komelin. La sua produzione industriale è stata dal 1990s. Al momento, ci sono più di 100 linee di produzione TPS in tutto il mondo. Ci sono anche diverse linee di produzione di vetro isolante TPS distanziatore termoplastico in funzione in cina. TLa prima linea di produzione è stata messa in produzione nel 2011. Vetro isolante distanziatore termoplastico e il prodotto TPS di nuova generazione 4SG con resistenza strutturale è stato preliminalmente riconosciuto e applicato in facciate continue strutturali, edifici commerciali, edifici residenziali, autobus, automobili e altri campi.
Dal suo inizio, il sistema di strisce distanziatrici termoplastiche (TPS) ha superato l'ispezione e la certificazione degli standard applicabili in molti paesi in tutto il mondo, incluso il vetro isolante giapponese JIS R3209, metodo di prova a lungo termine Standard europeo EN1279-2 per la permeazione del vapore acqueo del vetro isolante, Metodo di prova a lungo termine Standard europeo EN1279-3 per la permeazione del Gas del vetro isolante metodo di prova standard europeo EN1279-4 per le caratteristiche fisiche della sigillatura del bordo del vetro isolante, nordamericano ASTM773/774, francese NFP78-451/452, UNI10593 italiano, DIN1286 tedesco e altri standard.
Il vetro isolante di questo sistema di tenuta è anche il primo sistema di vetro isolante a due cavità in vetro per passare il test di ritenzione del gas di en12793, con tassi di perdite di argon annuali di 0.4% ~ 0.5%.
Per studiare e studiare le prestazioni del vetro isolante del sistema distanziatore termoplastico e verificarne i vantaggi In termini di durata, il centro nazionale di supervisione e ispezione della qualità del vetro ha selezionato il prodotto termoplastico distanziatore 4SG prodotto dalla società Kemelin, adesivo strutturale in silicone Dow Corning usato come sigillante esterno, E ha utilizzato la linea di produzione ultra-automatica 100 per produrre il campione di vetro isolante gonfiabile. Secondo la durata della tenuta del vapore acqueo e la durata della tenuta del gas nello standard GB/T11944-2012, sono stati testati con cinque cicli standard.
(1) durata della guarnizione del vapore acqueo
Il test di ogni ciclo è composto da ciclo alternato ad alta e bassa temperatura e temperatura e umidità costanti. Fase 1: 56 cicli, un ciclo di temperatura ogni 12 ore, la temperatura varia da-18 ℃ ± 2 ℃ a 53 ℃ ± 1 ℃; Fase 2: la temperatura ambiente a 58 ℃ ± 1 ℃ e l'umidità relativa superiore al 95% viene mantenuta per 7 settimane e ogni ciclo è di 77 giorni (Come mostrato nella figura 14).

Figura 14 ciclo ciclo di durata della guarnizione del vapore acqueo
In questo test, cinque gruppi di campioni vengono inseriti nella camera di prova di invecchiamento. Dopo ogni ciclo, un gruppo viene rimosso per il test finale del contenuto di umidità e viene utilizzato il valore I. Giunzione vedere la tabella 4 per i risultati.
(2) durata della guarnizione del Gas
Primo, il contenuto iniziale di argon del vetro isolante per il test di durata viene testato e i risultati sono elencati nella tabella 5.
Tabella 4 risultati del Test di durata di 5 cicli di striscia distanziatrice termoplastica (4SG)

Tabella 5 risultati dei Test del contenuto iniziale di Argon dei campioni
Campione No | Contenuto iniziale di argon (% V/V) |
1 # | 93.7% |
2 # | 93% |
In secondo luogo, secondo il metodo di prova in GB/T11944-2012, il campione è stato testato per cinque cicli e il contenuto di argon è stato testato dopo ogni ciclo. Vedi la tabella 6 per i risultati del test.
Tabella 6 risultati del test del contenuto di Argon dei campioni dopo l'invecchiamento
Ciclo | Campione No | Contenuto finale di argon (% V/V) |
1 ciclo | 1 # | Novantadue punti otto |
2 # | Novantaddue punti due | |
2 cicli | 1 # | Novantone point nine |
2 # | Novantone punto tre | |
3 cicli | 1 # | Novantone punto due |
2 # | 90 punti cinque | |
4 cicli | 1 # | 90 punti quattro |
2 # | Ottantinei punti sette | |
5 cicli | 1 # | Ottantinei punti sei |
2 # | Ottantinei |
Dai risultati del test, sia indice di permeabilità all'acqua che il contenuto di argon del vetro isolante della striscia distanziatrice termoplastica (4SG) il sistema può ancora soddisfare i requisiti dello standard nazionale dopo cinque cicli di invecchiamento. I risultati del test dell'indice di permeabilità all'acqua dopo cinque cicli sono migliori rispetto ai risultati del test del ciclo standard attuale delle strutture di tenuta tradizionali in cina, il contenuto di gas è solo ridotto di circa il 4%, Che indica che la durata del vetro isolante in questo sistema sarà molto più lunga di quella del vetro isolante della struttura di tenuta mainstream attuale in cina.
Dall'analisi cognitiva ai risultati dei test, viene dimostrato che la striscia distanziatrice termoplastica (TPS) è una nuova generazione di materiale sigillante per bordi in vetro isolante. Questo sistema di vetro isolante può migliorare la durata di tenuta del vetro isolante e migliorare l'effetto del bordo del vetro isolante, che dovrebbe essere fortemente promosso. Ad ogni modo, sia il materiale di tenuta del distanziatore termoplastico che l'attrezzatura di produzione automatica per la produzione del vetro isolante con la struttura di tenuta vengono importati, E il prezzo è uno dei motivi principali che restringono la diffusione e l'applicazione del vetro isolante del distanziatore termoplastico (TPS). La cina è ancora nella fase di ricerca e sviluppo di attrezzature e ricerca sui materiali e non ha realizzato la produzione industriale. Con l'aumento della conoscenza delle persone delle prestazioni superiori del vetro isolante distanziatore termoplastico e il miglioramento aggiuntivo della ricerca domestica e del livello di industrializzazione, la sua prospettiva di applicazione sarà sempre più ampia.
Riferimento:
[1] Qinhuangdao istituto di ricerca e progettazione dell'industria del vetro, vetro isolante (GB/T11944-2012), pressa per standard cinesi.
[2] Dr.Chritian Scherer, ricircolo Smar ecc., un nuovo sistema di bordo caldo con efficienza e durata superiori, prestazioni in vetro GPD giorni 2015.
[3] Li Jing, innovativo sistema di sigillatura distanziatore per facciate continue 4SG, 2017 China Glass conferenza annuale speech.
[4] Yuan Peifeng, et al, vantaggi delle prestazioni del vetro isolante termoplastico con bordo caldo, procedure del 2017 cina industria del vetro conferenza annuale e seminario tecnico.